DIENA NAILA AMALIA
Kamis, 15 Juni 2023
Selasa, 04 April 2023
Jumat, 06 Januari 2023
Turunan fungsi Aljabar
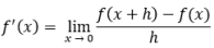
Turunan fungsi atau juga bisa disebut dengan diferensial adalah fungsi lain dari suatu fungsi sebelumnya, contohnya fungsi f dijadikan f' yang mempunyai nilai tidak memakai aturan dan hasil dari fungsi akan berubah sesuai dengan variabel yang dimasukan, atau secara umum suatu besaran yang berubah seiring perubahan besaran lainnya. Proses dalam menemukan turunan disebut sebagai diferensiasi. Lalu untuk pengertian turunan aljabar adalah perluasan dari materi limit fungsi. Notasi turunan fungsi aljabar seperti berikut:
. Seperti yang telah disebutkan di atas, jika turunan fungsi aljabar merupakan perluasan dari materi limit fungsi sehingga dapat didefinisikan seperti berikut: 
Rumus Turunan Aljabar
Setelah memahami tentang pengertian dari turunan fungsi aljabar, hal yang perlu Sobat Pintar pelajari adalah rumus dari turunan fungsi aljabar. Rumus turunan fungsi aljabar ini terbagi menjadi beberapa rumus berikut:
Turunan Fungsi Pangkat

Turunan Hasil Kali Fungsi
Bentuk dari fungsi kali adalah f(x) = u(x) . v(x), sehingga turunannya adalah f’(x) = u’(x)v(x) + u(x)v’(x).
Contoh Soal:

Turunan Fungsi Pembagian

Contoh Soal:

Turunan Pangkat dari Fungsi

Contoh Soal:

Turunan Trigonometri

Bagaimana, Sobat Pintar?
Apa sudah mulai mengerti rumus-rumus dari turunan fungsi aljabar?
Rumus-rumus di atas perlu kalian pahami agar dapat menyelesaikan permasalahan yang berkaitan dengan turunan fungsi aljabar
B.) Persamaan Garis Singgung Kurva

Garis singgung bergradien m, jika titik yang dilaluinya adalah titik singgung A(x1,y1) maka persamaan garis singgungnya adalah

Persamaan garis normal bergradien -1/m dan melalui A(x1,y1)

Untuk memperjelas persamaan garis singgung dan garis normal, ikuti simulasi berikut ini:
Apakah Anda sudah memahami persamaan garis singgung dan persamaan garis normal di titik tertentu pada kurva? Jika belum, Anda dapat mengamati kembali animasi tentang persamaan garis singgung dan persamaan garis normal. Selanjutnya, cobalah pahami contoh persamaan garis singgung dan garis normal berikut ini.
Contoh
Tentukan Persamaan garis singgung dan garis normal pada kurva y = x4 - 7x2 + 20 di titik yang berabsis 2 adalah...
Jawab :
x = 2 y = x4 - 7x2 + 20 ⟶ y = 24 - 7.22 + 20 = 16 - 28 + 20 = 8 titik singgung A(2,8)
Persamaan Garis singgung
m = y' = 4x3 - 14 x = 4.23 - 14.2 = 32 - 28 = 4 , gradien, m = 4 melalui A(2,8)
Jadi, persamaan garis singgungnya adalah
y - y1 = m(x - x1)
y - 8 = 4(x - 2)
y - 8 = 4x - 8
y = 4x ⟶ Persamaan garis singgung
Persamaan garis normal
gradien garis singgung , m = 4, gradien garis normal m2 = - 1/4
Garis normal bergardien m2 = - 1/4 melalui A(2,8)
Jadi, persamaan garis Normalnya adalah
y - y1 = m2(x - x1)
y - 8 = - 1/4(x - 2) kalikan 4
4y - 32 = -x +2
x + 4y = 34 ⟶ Persamaan garis normal
2. Tentukan persamaan garis singgung kurva y = x2 di titik (-1, 1)!
Jawab:
Cari gradien dari kurva y dengan menggunakan turunan pertama. m = y’
m = f '(a)
= 2x
m = 2(-1)
= -2
Maka persamaan garis singgung kurva dengan gradient m = -2 di titik (-1, 1) adalah
y -y1 = m(x -x1)
y -1 = -2(x-(-1))
y -1 = -2x -2
y = -2x -1
C.) Nilai Stasioner dan Aplikasi Turunan
Setelah mempelajari tentang rumus-rumus turunan, ternyata turunan juga bisa diterapkan dalam materi yang lain. Beberapa penerapan turunan fungsi, yaitu :
1. Gradien Persamaan Garis Singgung
Salah satu cara untuk membuat sebuah persamaan garis singgung adalah dengan menggunakan gradien atau kemiringan dari garis tersebut. Gradien suatu fungsi f(x) yang melalui titik A (a,f(a)) dapat ditentukan dengan menggunakan turunan dengan rumus: m = f’(a).
2. Kemonotonan Fungsi
Aplikasi turunan yang lainnya adalah menentukan kemonotonan suatu fungsi. Maksudnya, Sobat pintar dapat mengetahui suatu fungsi naik atau turun pada interval tertentu.

3. Titik Stasioner
Titik stasioner disebut juga titik kritis, titik ekstrim, atau titik balik. Titik stasioner merupakan sebuah titik pada kurva dengan gradien dari garis singgung kurva bernilai 0 (nol).
Jika fungsi f(x) kontinu dan terdiferensial, maka f(a) dikatakan NILAI STASIONER dari f(x) jika dan hanya jika f’(a)=0.
4. Nilai Maksimum dan Minimum Fungsi
Sebelum menentukan nilai maksimum dan minimum, Sobat Pintar harus tahu cara menentukan titik maksimum dan minimum terlebih dahulu.
Titik maksimum atau minimum suatu fungsi f(x) pada interval [a,b] dapat ditentukan dengan langkah-langkah berikut:
1). Penuhi syarat nilai stasioner, yaitu f’(a) = 0 dan f’(b) = 0
2). Tentukan jenis stasionernya (titik maksimum, titik belok, atau titik minimum) dengan menggunakan turunan kedua fungsi tersebut, yaitu:
- Jika f’’(a) < 0 maka f(a) adalah nilai balik maksimum fungsi f
- Jika f’’(a) > 0 maka f(a) adalah nilai balik minimum fungsi f
- Jika f’’(a) = 0 maka f(a) bukan nilai ekstrim fungsi f
3). Substitusi nilai variabelnya ke fungsi awal, sehingga diperoleh nilai maksimum atau minimumnya.
Nilai maksimum atau minimum suatu fungsi yang kontinu dan diferensiabel pada setiap titik di interval [a,b] dapat terjadi pada:
- Titik stasioner yang berada pada interval [a,b]
- Titik ujung interval
Dalam menentukan nilai maksimum atau minimum suatu fungsi dapat dilakukan melalui langkah-langkah berikut:
1). Menentukan titik stasioner pada fungsi f(x) yang berada pada interval [a,b]
2). Menentukan nilai fungsi pada ujung interval, yaitu f(a) dan f(b)
3). Membandingkan nilai fungsi pada langkah 1 dan 2. Nilai yang terbesar adalah nilai maksimum, sedangkan nilai terkecil adalah nilai minimum
5. Kecepatan dan Percepatan Benda
Wah, nggak nyangka ya, ternyata turunan juga digunakan dalam rumus Fisika yang sering kita jumpai, yaitu kecepatan dan percepatan.
Jika diketahui sebuah benda bergerak menempuh jarak s = f(t), maka kecepatan dan percepatan benda tersebut dapat dirumuskan sebagai berikut:
- Kecepatan benda saat t detik (turunan pertama). Rumus turunan pertama yaitu:

- Percepatan benda saat t detik (turunan kedua). Rumusnya ialah:

Nah, setelah mengikuti pembahasan mengenai turunan, Sobat Pintar dapat mengerjakan latihan soal-soal turunan pada aplikasi Aku Pintar. Jadi, jangan lupa download aplikasi Aku Pintar di Play Store atau App Store untuk mempelajari materi lengkap mengenai turunan, ya!
DAFTAR PUSTAKA
https://akupintar.id/info-pintar/-/blogs/turunan-fungsi-aljabar-konsep-rumus-dan-aplikasi
https://akupintar.id/info-pintar/-/blogs/turunan-fungsi-aljabar-pengertian-rumus-aplikasi-contoh-soal
https://sumber.belajar.kemdikbud.go.id/repos/FileUpload/Garis%20Singgung%20Garis%20Normal-BB/Topik-2.html
Rabu, 04 Januari 2023
Integral fungsi Aljabar
Nama: Diena Naila Amalia
Kelas: XI IPS 1
Absen: 11
Apa Itu Integral Tak Tentu?
Integral merupakan anti turunan atau kebalikan dari turunan yang berfungsi untuk menentukan daerah, volume, titik pusat, dan lainnya.
Kalau suatu fungsi f(x) dibalik menjadi f’(x) maka itu merupakan turunan. Nah, jika f’(x) dibalik lagi menjadi f(x), maka itu merupakan integral.
Sebelum ke rumus integral tak tentu, elo perlu paham konsep turunan nih. Gue kasih bayangin dikit tentang turunan secara umum.
y= X3 Turunan dari soal ini berapa?
dydx = 3×2 Setelah diturunkan seperti ini, lalu dikali silang.
dy = 3×2 dx
d(X3) = 3×2 dx Bisa dilihat ya, y diganti dengan X3
Nah, dari sini bisa kita simpulkan ya cara mencari turunan bentuknya akan seperti ini nih.
Turunan dari X2 akan menjadi d(X2) = 2x dx
Oke, konsep turunan udah ingat lanjut ke materi integral tak tentu lagi.
Coba deh elo perhatikan antara turunan dan integral di bawah ini.
Turunan:
Sekarang kita balik, dikalikan silang ya:
df(x) = f’(x)dx
Kita tambahkan aja lambang integral (∫), menjadi:
∫df(x) = ∫f’(x)dx
∫f’(x)dx = f(x)+C
Pengertian integral tak tentu (indefinite integral) merupakan suatu fungsi baru yang punya turunan dari fungsi aslinya dan fungsi tersebut belum memiliki nilai pasti. Itulah mengapa dalam integral tak tentu ada konstanta (C).
Rumus Integral Tak Tentu
Oke, kita tahu kalau integral tak tentu berarti nilai atau batasannya belum pasti, sehingga ada nilai konstanta di dalamnya. Sekarang, mari kita definisikan seperti apa sih rumus dasar integral tak tentu? Perhatikan rumus di bawah ini.
Rumus Integral tak tentu:
Supaya lebih mudah dipahami, gue langsung cemplung angka-angkanya ke rumus di atas ya.
Nah, jelas ya sekarang? Jadi, elo hanya perlu memasukkan angka-angkanya ke dalam template rumus di atas. Sampai sini udah mulai paham dikit-dikit lah ya, tapi sebelum buru-buru ke contoh soal integral tak tentu, simak dulu sifat-sifatnya.
Sifat-Sifat Integral Tak Tentu
Pengertian udah tahu, rumus juga elo udah tahu, kurang lengkap rasanya kalau kita gak mengenal sifat-sifat dari integral tak tentu. Berikut adalah sifat-sifat integral tak tentu:

Contoh Soal Integral
Soal 1

Dalam soal ini, batas atas adalah 1 dan batas bawah -2. Tahap pertama yang perlu kita lakukan adalah melakukan integral fungsi 3x2 + 5x + 2 menjadi seperti di bawah ini.

Setelah kita mendapatkan bentuk integral dari fungsi tersebut, kita dapat memasukkan nilai batas atas dan bawah ke dalam fungsi tersebut lalu mengurangkannya menjadi seperti berikut.

Hasil dari integral tersebut adalah 27,5.
Soal 2.
Diketahui turunan y = f(x) adalah = f ‘(x) = 2x + 3
Jika kurva y = f(x) lewat titik (1, 6), maka tentukan persamaan kurva tersebut.
Jawab:
f ‘(x) = 2x + 3.
y = f(x) = ʃ (2x + 3) dx = x2 + 3x + c.
Kurva melalui titik (1, 6), berarti f(1) = 6 hingga dapat di tentukan nilai c, yakni 1 + 3 + c = 6 ↔ c = 2.
Maka, persamaan kurva yang dimaksud yaitu:
y = f(x) = x2 + 3x + 2.
Soal 3.
Carilah hasil dari ʃ21 6x2 dx !

Jadi, hasil dari ʃ21 6x2 dx adalah 14.
Teknik Pengintegralan: Metode Substitusi
Dalam menyelesaikan masalah integral tak tentu, masalah yang ada harus dibawa ke salah satu atau beberapa bentuk integrand yang telah dikenal. Dengan memasukkan atau mensubstitusi variabel baru yang tepat sehingga bentuk yang tadinya belum dikenal primitifnya berubah menjadi bentuk yang telah dikenal.
Diberikan fungsi |
Untuk membuktikan hal tersebut, maka cukup ditunjukkan bahwa derivatif kedua ruang terhadap merupakan fungsi yang sama. Diperhatikan bahwa
Sementara di lain pihak, diperoleh:
Dengan demikian, terbukti bahwa
Contoh.
- Akan ditentukan nilai integral tertentu dari
, untuk suatu konstanta
.
Penyelesaian:
Diambil substitusiatau
maka
. Dengan demikian,
Diperhatikan bahwa nilai
merupakan bentuk intergal yang telah dikenal.
- Akan ditentukan nilai integral tertentu dari
.
Penyelesaian:
Dengan substitusimaka diperoleh
, sehingga diperoleh integrasi:
Diperhatikan bahwa nilai
merupakan bentuk integral yang telah dikenal.
- Tentukan
.
Penyelesaian:
Disubstitusikan, sehingga diperoleh
. Akibatnya,
Contoh Soal Integral Beserta Jawaban dan Pembahasannya
1) Hitunglah integral dari 4x3 – 3x2 + 2x – 1 !

Jadi, integral dari 4x3 – 3x2 + 2x – 1 adalah x4 – x3 + x2 – x + c
2) Tentukan integral dari (x – 2)(2x + 1) !

Jadi, integral dari (x – 2)(2x + 1) adalah 2/3 x3 – 3/2 x2 – 2x + c.
3) Diketahui fungsi y = f(x) memiliki f ‘(x) = 4x + 6. Misal kurva y = f(x) melalui titik (2, 8). Tentukan persamaan kurva tersebut.
f(x) = ʃ f ‘(x), dan f ‘(x) = 4x + 6, maka
f(x) = ʃ (4x + 6) dx
f(x) = 2x2 + 6x + c
Karena kurva melalui titik (2, 8), maka f(2) = 8. Dengan mensubstitusikan ke f(x), diperoleh
f(x) = 2x2 + 6x + c
f(2) = 2(2)2 + 6(2) + c
8 = 8 + 12 + c
c = -12
Jadi, persamaan kurva tersebut adalah y = f(x) = 2x2 + 6x – 12
DAFTAR PUSTAKA
https://www.zenius.net/blog/integral-tak-tentu
https://www.seputarpengetahuan.co.id/2020/05/integral-tak-tentu.html
-
koordinat kutub dan koordinat kartesius Diena Naila Amalia 08 X IPS 3 koordinat kutub dan koordinat kartesius Koordinat kutub merupakan koo...
-
PENGUKURAN SUDUT Nama: Diena Naila Amalia Kelas: X IPS 3 Absen: 08 TRIGONOMETRI: Ukuran Sudut (Derajat Dan Radian) Pada umumnya, ada dua uku...
-
identitas trigonometri Diena Naila Amalia 08 X IPS 3 identitas trigonometri A. PENGERTIAN Identitas trigonometri adalah suatu relasi atau k...